Mówi się, że połowa wszystkich wydatków na marketing jest niepotrzebna – tylko nie wiadomo która. Biorąc po uwagę, że wartość netto rynku reklamowego w Polsce w 2020 r. wyniosła 9,97 mld złotych¹, widać, jak wiele można zyskać dzięki marketingowej analityce. Jakie wskaźniki marketingowe faktycznie należy mierzyć? Jakich KPIs użyć, aby weryfikować zasadność prowadzonych kampanii? Jak policzyć stopę migracji i dlaczego warto postawić na NPV zamiast ROI? Poznaj 10 najskuteczniejszych wskaźników marketingowych i dowiedz się, jak właściwie ich używać.
Wskaźniki finansowe
Marketerzy rzadko operują językiem finansów. Przyjęło się bowiem mówić, że marketing jest związany z brandingiem (czyli budowaniem marki w świadomości klientów), a co za tym idzie – nie sposób mierzyć jego efektów. Nic bardziej mylnego: dokonywanie pomiarów marketingowych za pomocą wskaźników finansowych jest jak najbardziej możliwe i jak zaraz się okaże – całkiem łatwe.
Wskaźnik 1. Npv wartość bieżąca netto
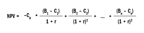
Panuje błędne przeświadczenie, że kampanii marketingowych (a szczególnie tych o różnych kosztach) nie można ze sobą porównywać. Jest to jednak mit – ten, kto zna net present value, wie, że jest to możliwe. Wskaźnik NPV oblicza się ze wzoru:
Jego obliczenie jest stosunkowo proste: koszt kampanii odejmuje się od jej wartości bieżącej. Jeśli w czasie 0 ponosimy wydatek na kampanię, to w każdym kolejnym okresie Bn nastąpią wpływy gotówkowe osiągnięte dzięki tym działaniom. Gdy koszt tych kampanii oznaczymy jako Cn, wówczas obliczamy wartość wszystkich wpływów i pomniejszając ją o koszt ich uzyskania, otrzymamy tzw. zysk zdyskontowany (1+r) o wartość pieniądza w czasie (czyli uwzględniający inflację). Dzięki temu, że wartości są w tym wskaźniku rozkładane w czasie, wiemy, ile tak naprawdę warte będą przyszłe wpływy z kampanii.
Ogólnie przyjmuje się, że w sytuacji, gdy NPV jest wyższe od zera – powinniśmy inwestować (uruchamiać kampanię). Wtedy bowiem średnia korzyść w kolejnym okresie będzie większa od średniego kosztu jej uzyskania (i to nawet jeśli założymy, że zyskane środki będą w przyszłości warte mniej). W marketingu wyliczanie NPV doskonale sprawdza się przy planowaniu długoterminowych kampanii. Oczywiście, nie jest to dokładny wskaźnik i zawsze będzie wiązał się z pewnym ryzykiem subiektywizmu (i brakiem jakościowych elementów), niemniej jednak warto go stosować.
Wskaźnik 2. Zysk
Wzoru na zysk (przychody – koszty) nikomu nie trzeba przypominać. Marketing oddziałuje jednak na niego na kilka sposobów, o czym warto pamiętać podczas przygotowywania analiz. Z jednej strony bowiem kampanie marketingowe mogą wpływać na zysk firmy poprzez maksymalizowanie przychodów przy jednoczesnym minimalizowaniu zysków (dzieje się tak, np. gdy prowadzimy kampanie promocyjne/wyprzedażowe). Z drugiej natomiast możliwe jest kształtowanie zysku poprzez jego maksymalizowanie (np. za pomocą inwestycji w relacje z klientami i działania marketingowe w obszarze wspierania klienckiej lojalności). Dodatkowo, zarządzanie łańcuchem dostaw (np. minimalizowanie cen dystrybucji, które należy do kompetencji marketingu), będzie miało znaczny wpływ na firmowe koszty, tak samo jak odpowiednia polityka cenowa (także kreowana przez marketerów).
Wskaźnik 3. IRR wewnętrzna stopa zwrotu
Licząc zwrot inwestycji w marketing liczymy zwykle ROI. Nieśmiertelny return of investment wylicza się oczywiście zgodnie ze wzorem:
Wskaźnik ten nie jest jednak wystarczający do obliczenia faktycznego „zwrotu w marketing”. Nie zakłada on bowiem zmian wartości pieniądza w czasie (a wiemy, że błędem jest zakładanie, że nasze zyski/wpływy pieniężne, które będziemy osiągać w przyszłości będą sobie równe). Dodatkowo, ROI możemy wyliczać zarówno dla kampanii trwającej rok czy dłużej, jak i krótkiej, tygodniowej akcji – to implikuje konieczność sięgania po bardziej zaawansowane wskaźniki. Jednym z nich jest IRR, czyli wewnętrzna stopa zwrotu. Obliczamy ją na zasadzie przypisania NPV wartości zerowej i wyliczenia równania, ustalającego stopę zwrotu r (czyli właśnie IRR).
Wskaźnik 4. ROMI
ROMI, czyli return of marketing investment może być liczone na wiele sposobów i zgodnie z różnymi modelami. I choć sam model jest bardzo prosty, może być wykorzystywany na bardzo wiele sposobów. Możemy go traktować zarówno jako analizę biznesową (np. w przypadku planowania kampanii czy przy zakończenia), jak i bazę do wyliczenia potencjalnych korzyści (np. oszacowania wpływu kolejnych kampanii na przychody firmy). Zawsze należy jednak pamiętać, że wyliczanie ROMI (i zakładanie wskaźnika jako KPIs przy planowaniu kampanii) należy uwzględniać w trzech wariantach: najlepszym, najgorszym i najbardziej prawdopodobnym.
Wskaźniki niefinansowe
Wskaźnik 5. Świadomość marki
Największym problemem brandingu – czyli budowania marek – jest to, że odwołuje się do świadomości klientów. Przez to może wydawać się całkowicie niemierzalny. Bo jak zmierzyć percepcję zakupową klientów? Jak zbadać ich preferencje? Jak dowiedzieć się, jakie motywacje powodują to, że klient jest gotów zapłacić za torebkę kilka tysięcy złotych? Oczywiście, są to wartości mierzalne i składają się na tzw. analizę świadomości marki. Zwykle robi się to poprzez badania w formie pytań. Grupie badanych zadaje się pytanie w stylu: „Gdy chodzi o (kategorię produktu), jaki pierwszy produkt/firma/marka przychodzi Ci na myśl?” oraz „Jeśli chodzi o (kategorię produktu), o jakich innych produktach/firmach/markach słyszałeś”? Takie badania prowadzą zwykle wyspecjalizowane agencje, przeliczając je ilościowo (jaki procent osób na ilość x podaje produkt n jako pierwszy wybór). Z drugiej strony takie badania rozszerza się o badania jakościowe (w ten sposób szukając motywów klientów, np. Co powoduje, że ten wybór był pierwszy? Z czym kojarzy się marka Y?). Co ważne, badania świadomości marki przeprowadza się ciągle – nie tylko przed i po kampanii, ale przez fakt, że może ona się dynamicznie zmieniać, stale powinniśmy ją monitorować.
Wskaźnik 6. Stopa migracji
Jest to wskaźnik, który jest odsetkiem dotychczasowych klientów, którzy postanowili zakończyć współpracę z firmą. Najczęściej przedstawia się go w ujęciu rocznym, ale można również badać go np. kwartalnie lub miesięcznie (takie rozwiązanie jest popularne np. w marketingu internetowym, gdzie mierzy się użytkowników odchodzących/zamykających konto w ostatnich 30 dniach w aplikacji czy e-sklepie). Jak w praktyce liczyć stopę migracji? Bardzo prosto! Jeśli mamy 10 000 klientów na początku roku, a z końcem zostaje ich 9000, to nasza stopa migracji wynosi 10%. Ten wskaźnik jest bardzo ważnym KPIsem, ponieważ z jednej strony jego zmniejszenie ma realny wpływ na wyniki finansowe, a z drugiej pokazuje stosunkowo tanie kosztowo rozwiązanie, które zwiększa sprzedaż. Zwyczajowo tzw. marketing lojalnościowy, tj. służący utrzymaniu dotychczasowych klientów, jest nieporównywalnie tańszy niż prowadzenie kampanii dla nowych klientów (aby dotrzeć do nowych kanałów, konieczne jest np. budowanie świadomości marki, edukacja rynku – łatwiej dotrzeć do tych podmiotów, które nas znają i są na dole lejka zakupowego). Zobaczmy to na przykładzie.
Przykład.
Załóżmy, że nasza stopa migracji wynosi 20% rocznie, średni przychód na klienta to 2000 zł, a nasza baza kliencka obejmuje 1000 podmiotów. W takim wypadku nasze przychody stanowią 2 mln zł, a przychody utracone na skutek migracji wynoszą aż 400 000 zł (tyle moglibyśmy osiągnąć dodatkowo, gdyby klienci z nami pozostali). Tym samym zredukowanie stopy migracji tylko o 2% pozwoliłoby uzyskać 40 000 zł dodatkowych przychodów, a obniżenie jej o 10% dałoby aż 200 000 zł dodatkowego zysku!
Wskaźnik 7. Zadowolenie klienta
Wskaźnik zadowolenia klienta jest bardzo ważnym miernikiem – pozwala bowiem łączyć branding z lojalnością naszych klientów. Najczęściej sprawdza się go poprzez badania ankietowe, pytając klientów „czy poleciliby swojej rodzinie/znajomym produkt X” (formuła doskonale znana nam np. z ankiet w placówkach medycznych czy po kontakcie z bankową infolinią). Może wydawać się to błahe, niemniej jednak badanie zadowolenia klientów jest absolutnie kluczowe w każdym biznesie – klient zadowolony z zakupu jest skłonny go ponowić, a zatem realnie wygenerować kolejny zysk dla firmy. Mierząc zadowolenie klienckie i lojalność, tak naprawdę sprawdzamy potencjał zakupowy oraz umożliwiamy powstrzymanie wzrostu stopnia migracji.
Wskaźnik 8. Stopa przyjęcia
Stopa przyjęcia jest wskaźnikiem typowo operacyjnym, bardzo pomocnym przy sprawdzaniu skuteczności realizowanych kampanii i bezpośrednio związanym z mierzeniem ich kosztów. Jest ważny, ponieważ marketingowa praktyka pokazuje, że nigdy nie jest tak, że w 100% trafiamy do założonej przez nas grupy docelowej – zawsze jest to tylko jakiś procent. Stopa przyjęcia to właśnie odsetek klientów (czy leadów), którzy przyjmują ofertę. Zatem jeśli prowadzimy kampanię na rynku B2B polegającą na kontakcie handlowym z setką firm (potencjalnych klientów), ale na naszą propozycję przystaje 10 z nich, to nasza stopa przyjęcia wynosi 10%. Takie dane możemy umiejętnie wykorzystać do wyliczenia kosztu pozyskania klienta. Jeśli kontakt z jednym potencjalnym klientem kosztował nas 200 zł, to 20 000 zł wyniósł koszt kampanii (100 firm x 200 zł). Jeśli podzielimy przez 10 pozyskanych leadów, to koszt pozyskania jednego klienta dla naszej firmy wyniesie 2000 zł. W tym miejscu dochodzimy do najważniejszego wskaźnika skuteczności marketingu.
Wskaźnik 9. Koszt pozyskania klienta
Żeby sprawdzić, czy kampania marketingowa jest skuteczna, należy przede wszystkim znać koszt pozyskania jednego klienta. Oblicza się go następująco:
Miernik ten pokazuje, że jeśli zysk netto ze sprzedaży produktu jest mniejszy niż koszt pozyskania klienta, to wówczas mamy do czynienia z nieefektywną kampanią (oczywiście, przy założeniu, że ten klient wygeneruje tylko taki zysk). Dzięki takim obliczeniom widzimy też inną rzecz: otóż obniżenie kosztu pozyskania jednego klienta znacznie przyczynia się do obniżenia kosztów marketingowych. W przypadku bardzo dużych budżetów marketingowych nawet bardzo małe zmiany stóp przyjęcia generują bardzo duże zyski (dlatego docelowo zawsze dążymy do maksymalizacji stóp przyjęcia).
Wskaźniki klienckie
W controllingowej rzeczywistości kierujemy się zwykle prostymi założeniami: klienci to przychody, zysk dzielony przez kapitał to ROI. Coraz częściej pojawiają się głosy, że powinniśmy wychodzić poza ten schemat. Na klienta powinniśmy bowiem patrzeć nie tylko przez pryzmat wygenerowanego przez niego zysku, lecz bardziej jego potencjału zakupowego (czyli wartości przyszłych transakcji, jakich może u nas dokonać). Będąc precyzyjnym, oblicza się korzyści netto wyrażone w pieniądzu, generowane przez danego klienta. Właśnie tę wartość w koncepcji marketingu relacji nazywamy zyskiem czy raczej strumieniem zysku. Patrzenie na klienta w dłuższym horyzoncie czasowym jest odświeżające i perspektywiczne. Generuje jednak konieczność określania tzw. „strategicznej wartości klienta” (strategic lifetime value), czyli maksymalnego poziomu zysku, jaki firma może wygenerować z relacji z nim oraz „kapitału klienta” (customer equity), który jest sumą wartości wszystkich naszych klientów (inaczej zwaną też wartością portfela klientów). Takie podejście determinuje również zmianę sposobu mierzenia efektywności marketingu. Podstawę analiz stanowić będą wskaźniki mierzące wartość klienta w całym cyklu jego „życia”2. W modelu wartościowania klientów będziemy odchodzić od koncentracji na naszym udziale w rynku, fokusując się na udziale firmy w portfelu naszych klientów. Szczegółowo będziemy badać również zadowolenie klientów i ich lojalność, np. analizując powody utraty klientów, wyliczając opłacalność nabywców. Oczywiście, klientów można wartościować i kwalifikować na wiele sposobów – można użyć analizy wskaźnikowej ROI, analizy ABC lub RMF, można skorzystać z dziewięciopolowej siatki strategii wobec klientów lub zastosować wskaźnik wartości klienta CVI (customer value index). Wreszcie można sięgnąć do analizy wartości życiowej klienta (czyli customer lifetime value).
Wskaźnik 10. Cltv wartość klienta w cyklu życia
Do analizy wartości życiowej klienta (customer lifetime value) używa się wskaźnika występującego pod skrótem LTV, CLV, CLTV, LCV. Dzięki jego zastosowaniu możliwe jest faktyczne wyliczenie zysku, jaki może wygenerować przeciętny klient, a także estymowanie kosztów pozyskania nowych klientów w taki sposób, aby było to opłacalne. CLV umożliwia również rewidowanie modeli biznesowych: pozwala sprawdzić, na jakim etapie rozwoju znajduje się przedsiębiorstwo i jakie są jego szanse na dalszy rozwój. Przede wszystkim jednak realnie obniża koszty (badania dowodzą, że wiedza o klientach realnie przekłada się na wzrost przychodów, np. te firmy, które wdrożyły systemy CRM, osiągają wzrost przychodów większy aż o 42% i odnotowują spadek kosztów sprzedaży o 35%2). Wzór na LTV wygląda następująco:
Jak widać, wyliczenie go jest bardzo proste. Pod LO podstawiamy przeciętną liczbę okresów (miesięcy/lat), przez którą klienci dokonują transakcji w firmie, a pod IT – przeciętną ilość dokonanych transakcji w jednym okresie. W miejsce WT wpisujemy wartość przeciętnej transakcji w jednym okresie, a MS traktujemy jako przeciętną marżę brutto na sprzedaży, wyrażoną w procentach. W ten sposób mnożymy więc informację o tym, jak długo przeciętny klient kupuje od nas (zanim przestaje być klientem) przez ilość transakcji i ich wartość w jednym okresie oraz wartość naszego zysku (marżę na jednej sprzedaży).
Czasami CLV liczy się także dla każdego klienta osobno, ponieważ pozwala to dokonać późniejszej segmentacji klientów. Zdarza się również, że dyskontuje się przyszłe przepływy pieniężne, co ma bardzo duże znaczenie w przypadku dużej lojalności klientów (kiedy są naszymi wieloletnimi partnerami konieczne jest uwzględnianie inflacji). Oczywiście, metoda pozwala także na jeszcze więcej wariantów – obliczanie marży netto możemy zmienić na wyliczanie marży na sprzedaży; przeliczanie przyszłej wartości klienta można zastąpić wartością przeszłą, a bazowanie na obrocie – zysku ze sprzedaży. Opcji jest wiele i tylko od naszych potrzeb zależy, którą wybierzemy (jak mawiają klasycy coachingu: sky is the limit).
Make marketing great again!
Teoretycznie wszystkie KPIsy są ważne (tzn. „kluczowe”). Praktyka pokazuje jednak, że wskaźniki „przekleja się” z dokumentu do dokumentu, z kampanii do kampanii. Podczas analizy zawsze warto jednak odpowiedzieć sobie na pytanie, jakie są faktyczne cele naszych działań? W jaki sposób możemy określić, czy kampania osiągnęła sukces? Dzięki jakiej „ilości” możemy stwierdzić, że nam się udało? Oczywiście, w przypadku kampanii internetowych marketerzy mogą przedstawić właściwie nieograniczoną ilość wskaźników. Warto jednak już na etapie planowania działań podzielić KPIs na „Internal KPIs” i „External KPIs”. W pierwszej grupie niech znajdą się mierniki, których używacie w konkretnych kampaniach (np. liczba otwarć wiadomości w kampaniach e-mailowych, liczba pobrań materiału marketingowego, oczekiwany poziom zaangażowania i zasięg w kanałach social media etc.). Jeśli przedstawiacie efekty działań zarządowi – użyjcie External KPI, czyli konkretnych wyników mających wymierną wartość dla przedsiębiorstwa. W tej grupie niech będzie np. zysk netto, marża sprzedaży, koszt pozyskania klienta, średnia wartość zamówień, zmniejszenie stopy migracji o x%. Ustalenie z góry takiego rozwiązania pozwoli wam pracować z wartościowymi raportami. Prawda jest taka, że jeśli dobrze wykonacie swoją pracę, tj. wyodrębnicie te KPIsy, które mają przełożenie na wasze działania, faktycznie dowiecie się, jakie obszary w marketingu są nieefektywne. Zyskacie również dane potrzebne do budowania strategii i umożliwicie sobie śledzenie zmian w czasie. Bierzcie więc najlepsze wskaźniki i działajcie. Make marketing great again!
Przypisy / Źródła / Podstawa prawna
( 1 ) Badanie Publicis Groupe Polska.
( 2 ) M. Cunha, J. Varajão, D. Santana, I. Bentes, Customer Relationship Management Systems – Why Many Large Companies Do Not Have Them?, [w:] Organizational, Business, and Technological Aspects of the Knowledge Society, red. M. D. Lytras, Corfu 2010. Dokument dostępny online: https://link.springer.com/chapter/10.1007%2F978-3-642-16324-1_39 [dostęp 26.04.2021].
Możesz zobaczyć ten artykuł, jak i wiele innych w naszym portalu Controlling 24. Wystarczy, że klikniesz tutaj.



